一、用途
HD-LFX分流旋翼式蒸汽流量计是测量蒸汽的专用仪表,可精确测量过热蒸汽和饱和蒸汽的累积流量。通过计数器表盘可直接读出蒸汽通过此表的全部重量,亦可输出脉冲讯号,连接二次仪表远传。适用于石油、化工、轻工、冶金、纺织、食品、医药等各使用蒸汽单位计量蒸汽流量。
二、特点
1.能准确计量管道中过热蒸汽和饱和蒸汽的流量;
2.流量测量范围宽,每台流量计设有3种不同口径的孔板,可通过更换孔板扩大和缩小流量范围,设有压力补偿调节机构,在蒸汽压力变动时能保证准确计量;
3.可抗拒突然流过流量上限200%的蒸汽流量,其测量准确性不受影响;
4.直接读数,不用换算(指DN100、DN80、DN50 ),在低温环境工作,其性能不变;
5.结构严谨、先进、寿命长,使用维护方便,各项性能指标均达到国内同类产品的先进水平。
结构和工原理
1、分流管 14、宝石轴承
2、本壳体 15、阻尼室
3、顶销钉 16、减速齿轮组
4、转子 17、主动磁钢
5、石墨轴承 18、被动磁钢
6、盖型螺母 19、排水口堵头
7、喷嘴 20、密封板
8、喷嘴板 21、指示器坚固螺栓
9、套管 22、指示器
10、孔板 23、远传出线口
11、转子轴 24、坚固螺栓
12、阻尼室体 25、注水口丝堵
13、阻尼叶
|
型号规格
|
DN25
|
DN50
|
DN80
|
DN100
|
|
H(mm)
|
456
|
643
|
673
|
693
|
|
h(mm)
|
86
|
203
|
218
|
230
|
LFX-08结构图
1、本壳体 14、减速器齿轮组
2、顶销钉 15、阻尼室体
3、转子 16、排水口堵头
4、喷嘴 17、密封垫
5、O型圈 18、密封板
6、石墨轴承 19、指示器坚固螺栓
7、转子轴 20、主动被动磁钢
8、密封垫 21、指示器壳
9、坚固螺母 22、指示器
10、注水口堵头 23、远传出线口
11、镶板 24、坚固螺栓
12、阻尼叶片 25、孔板
13、宝石轴承 26、螺堵(压力表接此处)
图1 LFX-2.5结构图
流量计主要由本壳体、阻尼室体、指示器三部分组成。
如图1所示,当蒸汽进入流量计后,大部分为孔板所节流,另一部分则经喷嘴进入分流管孔,形成蒸汽喷流,推动装在转子轴上部的转子,从而带动转子轴旋转。由于阻尼室注满阻尼液,使转子轴受到阻尼,致使转子以本身的转矩和阻尼叶片的制动转矩相平衡的转速旋转;转子轴的转动通过减速齿和磁钢耦合带动指示器指针,由表盘直接指示通过流量计的蒸汽的实际质量流量。
三、主要技术性能指标
1.仪表型号:LFX—2.5 LFX—05 LFX—08 LFX—10;
2.公称通径:DN25 DN50 DN80 DN100;
3.允许压力:0.05~1.0MPa# 0.05~1.6MPa;
4.流量上限:27~266kg/h# 133~8350kg/h;
5.流量范围:流量上限的30%—150%(严禁超过流量上限的150%);常用范围为流量上限的50%—100%;
6.允许最高温度:220℃# 240℃;
7.精度等级:2.5级(试验孔板),4级(更换孔板或压力调整后);
8.流量上限:(见表1)
注:标有#的数据均为LFX—2.5流量计的数据。
表1 单位:kg/h
| 蒸汽表压 |
各种口径各号孔板流量计的流量上限 |
| LFX—2.5 |
LFX—05 |
LFX—08 |
LFX—10 |
| MPa |
1 |
2 |
3 |
1 |
2 |
3 |
1 |
2 |
3 |
1 |
2 |
3 |
| 0.05 |
105 |
53 |
27 |
660 |
265 |
133 |
1325 |
660 |
265 |
2650 |
1325 |
660 |
| 0.1 |
120 |
60 |
30 |
750 |
300 |
150 |
1500 |
750 |
300 |
3000 |
1500 |
750 |
| 0.2 |
145 |
72 |
36 |
915 |
366 |
183 |
1830 |
915 |
366 |
3660 |
1830 |
915 |
| 0.3 |
165 |
83 |
41 |
1050 |
420 |
210 |
2100 |
1050 |
420 |
4200 |
2100 |
1050 |
| 0.4 |
183 |
92 |
46 |
1165 |
466 |
233 |
2330 |
1165 |
466 |
4660 |
2330 |
1165 |
| 0.5 |
200 |
100 |
50 |
1270 |
508 |
254 |
2540 |
1270 |
508 |
5080 |
2540 |
1270 |
| 0.6 |
215 |
107 |
54 |
1365 |
547 |
273 |
2730 |
1365 |
547 |
5470 |
2730 |
1365 |
| 0.7 |
229 |
115 |
57 |
1450 |
576 |
290 |
2900 |
1450 |
576 |
5760 |
2900 |
1450 |
| 0.8 |
242 |
121 |
61 |
1540 |
615 |
315 |
3150 |
1540 |
615 |
6150 |
3150 |
1540 |
| 0.9 |
255 |
127 |
64 |
1620 |
648 |
324 |
3240 |
1620 |
648 |
6480 |
3240 |
1620 |
| 1.0 |
266 |
133 |
67 |
1695 |
677 |
339 |
3390 |
1695 |
677 |
6770 |
3390 |
1695 |
| 1.1 |
|
|
|
1760 |
706 |
353 |
3520 |
1760 |
706 |
7060 |
3525 |
1760 |
| 1.2 |
|
|
|
1835 |
733 |
367 |
3670 |
1835 |
733 |
7330 |
3670 |
1385 |
| 1.3 |
|
|
|
1900 |
760 |
380 |
3800 |
1900 |
760 |
7600 |
3800 |
1900 |
| 1.4 |
|
|
|
1965 |
785 |
393 |
3930 |
1965 |
785 |
7850 |
3930 |
1965 |
| 1.5 |
|
|
|
2015 |
810 |
403 |
4030 |
2015 |
810 |
8100 |
4030 |
2015 |
| 1.6 |
|
|
|
2090 |
835 |
418 |
4175 |
2090 |
835 |
8350 |
4175 |
2090 |
注:表内数字为100%流量
四、安装与使用说明
1.流量计必须安装在一段水平直管线上,其前管段线长度不得小于公称通径的10DN,后段直管线长度不得小于公称通径的5DN。管道内径必须与流量计的公称通径相同(见图2)。切不可把流量计安装在管线的最低处,流量计的指示器必须垂直于管线下方。
2.蒸汽流量方向必须按流量计本壳体凸出箭头指方向,不得反向。用户为读数方便,需改变表盘方向时,可旋下紧固指示器的两只M10×28螺栓,将整个指示器旋转90°或180°,再将螺栓紧固于其它两孔即可。但不得逆向拨动磁钢,以免松动造成积算失误。
3.整机在安装之前,必须将两侧管道清洗净,以免污物进入流量计体内造成堵塞。
4.流量计运转之前,必须打开阻尼室体顶端的两个注水丝堵,将阻尼室内注满清水后紧固,否则转子转速过高会造成整机损坏和积算失误。
5.一切准备工作完毕之后,缓缓开启前后阀门,待工作正常后,再将阀门开到需要的开度。严禁开启太快,以免转子受到突然冲击后受损。
6.流量计在环境温度低于零度停止工作时,为防止阻尼室内水结冰,必须将阻尼室内水从排水口放出。若在严寒条件下工作时为防止阻尼水冻结,可在阻尼室体外包上足够的保温层,或在阻尼室内注满防冻液(含甘醇50%的水溶液)。
7.安装尺寸(见表2)
|
通径DN
|
公称压力MPa
|
法兰型式
|
法兰 GB9119.8-88
|
|
外径
|
螺栓孔中心圆直径
|
螺栓孔
直径×孔数
|
厚度
|
|
25
|
1.0
|
平焊
|
Ф115
|
Ф85
|
Ф14×4
|
16
|
|
50
|
1.6
|
平焊
|
Ф165
|
Ф125
|
Ф18×4
|
20
|
|
80
|
1.6
|
平焊
|
Ф200
|
Ф160
|
Ф18×8
|
20
|
|
100
|
1.6
|
平焊
|
Ф220
|
Ф180
|
Ф18×8
|
22
|
8.表盘读数:本仪表根据不同的口径、孔板设有10kg、100kg两种表盘。图3a所示为10kg表盘,它的长指针每转一周为10kg,图中指示值为121kg。
图3b所示是100kg表盘,它的长指针转一周为100kg,图中所示值为1210kg,其长短针均按顺时针方向旋转,以10:1的比率进位,长指针走一周,第一短针走一格。第一短针走一周,第二短针走一格……,依此类推,待第五短针走完一周后,各指针均回复到零位。
图3a 表盘读数示意图 图3b 表盘读数示意图
DN25仪表必须用标定修正系数来校正数值,既把表的读数乘上标定修正系数,得出实际蒸汽流量,其公式为:
G=G′·λ
G:实际流量(kg)G′:表指示流量(kg) λ:指定修正系数。λ的值是由标定时得出,出厂时在铭牌上注明。
9.压力调整:为保证在蒸汽压力变化时的计量精度,在指示器内设有压力补偿调整机构,其压力调整的刻度指示应与流经本壳体的蒸汽压力相一致,如不一致时,须调整到一致。调整方法(见图4);打开后盖(2),松开背母(5)旋动标尺杆(4)将圆刻度盘(3)上的压力指示刻度线对准标尺(1)上相应的压力值(与工作压力值相符合)而后拧紧背母。如图4,是将压力调整到0.8MPa位置上。
图4压力调整示意图
五、定期检修及维护
流量计在正常使用过程中,定期检修及维护工作如下:
1.石墨轴承在较恶劣的条件下工作,应根据蒸汽流量而确定维修周期,一般转子轴上提间隙最高为2mm,如间隙超过2mm,既应更换石墨轴承,更换后转子上提间隙为0.3—0.5mm之间。
2.在正常流量情况下工作,如发现大指针不动,可卸下指示器里的计数机构,检查各运动部位有无脱节卡死现象,如有应进行修理或清刷。若故障不在此处应停止输气,卸下密封板,检查一下减速齿轮组是否正常,若有问题应及时维修和清刷,然后注入4112仪表油。
3.经长期连续运转的流量计,最好阻尼室体内每隔几个月打开注、排水口堵头放出阻尼液,并用清水从注水口注入冲刷几次。
4.为避免由于管线、阻尼室内及各部件上的沉积物影响,导致流量计的性能及精度下降,规定检定期为一年。
六、孔板更换
当流量计的节流孔板不能适应被测管道蒸汽流量范围时,可用更换孔板法来满足被测蒸汽流量的要求。
1.DN100、DN80口径的流量计可用螺刀从主法兰入口,将固定节流孔板的螺钉松开既可更换孔板。在重新装入孔板时,应注意孔板中¢2的小孔应在流量计正常安装的向下方向。DN50流量计更换孔板需打开分流管和拆下喷嘴后进行更换。注意:喷嘴上的压紧螺帽为左旋螺纹,DN25流量计孔板更换时需打开正面大丝堵用 M8×35螺钉取出孔板,并更换或用专用扳手从出口方向拧出并更换。
2.更换孔板时流量计读数按表3修正。
| 口径\孔板 |
1→2 |
1→3 |
2→1 |
2→3 |
3→1 |
3→2 |
| Ф100 |
1/2 |
1/4 |
2/1 |
1/2 |
4/1 |
2/1 |
| Ф80 |
1/2 |
1/5 |
2/1 |
2/5 |
5/1 |
5/2 |
| Ф50 |
2/5 |
1/5 |
5/2 |
1/2 |
5/1 |
2/1 |
| Ф25 |
1/2 |
1/4 |
2/1 |
1/2 |
4/1 |
2/1 |
注:①:表中1→2表示1号孔板换2号孔板。
②:1/2是按指示流量除2,2/1是按知识流量乘2。
七、压力及温度修正
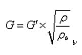
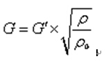
1.温度修正
流量计的正常作用是计量通过管道的饱和蒸汽,当流量计计量过热蒸汽时,其表的数值按下式修正:
G:实际流量值(kg);
G′:表读数值(kg);
ρ:通过流量计的过热蒸汽密度(kg/m3);
ρ0:为同一工作压力下的饱和蒸汽密度(kg/m3);
2.压力修正
当通过流量计的蒸汽压力改变后,可通过调整压力补偿标尺进行修正。如不进行调整,可通过下式计算,即可得到准确的蒸汽流量值。
G:实际蒸汽流量值(kg);
G′:表读数值(kg);
p:蒸汽工作压力所对应的饱和蒸汽密度(kg/m3)见表4;
p。:压力补偿机构所示压力对应的饱和蒸汽密度(kg/m3)见表4
表4 干饱和蒸汽压力密度对照表
| 蒸汽压力(MPa) |
密度ρ(kg/m3) |
 |
| 0.05 |
0.8467 |
0.920 |
| 0.1 |
1.109 |
1.053 |
| 0.2 |
1.621 |
1.273 |
| 0.3 |
2.124 |
1.457 |
| 0.4 |
2.619 |
1.618 |
| 0.5 |
3.111 |
1.764 |
| 0.6 |
3.600 |
1.897 |
| 0.7 |
4.085 |
2.021 |
| 0.8 |
4.568 |
2.137 |
| 0.9 |
5.051 |
2.247 |
| 1.0 |
5.531 |
2.352 |
| 1.1 |
6.013 |
2.452 |
| 1.2 |
6.494 |
2.548 |
| 1.3 |
6.947 |
2.636 |
| 1.4 |
7.452 |
2.730 |
| 1.5 |
7.930 |
2.816 |
| 1.6 |
8.410 |
2.900 |
八、拆、洗再装注意事项(参见图1)
1.拆卸:
为了保证计量精度,对长期连续使用的流量计,每年至少检查清洗一次。
1.1从管线上拆下流量计,同时把连接远传仪表的导线拆下。
1.2卸下指示器紧固螺栓(21),取下指示器,在没有故障的情况下。一般不要拆卸或移动指示器的任何部件。
1.3先拧开注水口堵头(25)(10),再拧开排水口堵头(19)(16)将水放出。
1.4拧下十个盖形螺母(6)拆下分流管(1)。
1.5拧下四个紧固螺栓(24),拆下密封板(20)和减速齿轮组(16),如果阻尼室体与密封板难以分离,可用两只M10螺钉顶开。
1.6将密封板水平放置,旋下紧固螺钉,从密封板拆下减速齿轮组,注意不要损坏主动磁钢,旋下M3螺钉,即可对减速齿轮组进行分解,小心不要损坏宝石轴承。
1.7取下顶销钉(3)拆下转子(4),将转于轴从阻尼室内取出,注意不要遗失调整垫圈。
1.8顺时针旋下转子下边的螺母,取出石墨轴承(5)注意不要损坏石墨轴承。
1.9拆下四个紧固螺母,将阻尼室体(12)和本壳体(2)分开。
1.10尽量不要从阻尼室体上拆下管套(9),若必须要拆下时注意螺纹为左旋。
1.11喷嘴(7)与喷嘴(8)不要拆卸,须拆时应注意两者的相对位置不许移动。如移动计量精度则无法保证。
2.DN25流量计的拆卸:
2.1同上
2.2同上
2.3同上
2.4松开阻尼室体(15)的四个螺母(9),从本壳体(1)上拆下阻尼室体,如果难以分离,可用两只M6螺钉顶下。
2.5小心取下阻尼室体,注意不要损坏转子(3)和“O”形密封圈(5)。
2.6取下顶销钉(2),再取下转子仔细检查,注意不要弄弯轴。
2.7松开转子下的四个紧固螺钉,取下压盖、弹簧和石墨轴承(6)。注意不要损坏石墨轴承。
2.8松开喷嘴上的两只M5内六角螺钉,取下喷嘴(4)
2.9松开四个紧固螺栓(24),拆下密封板(18),如果难以分离,可用两只M10螺钉顶开。
2.10松开密封板(18)与减速机齿轮组连接的M4螺钉,取下减速齿轮组仔细检查清洗,注意不要损坏主动磁钢组件(20)。
2.11把转子轴(7)从阻尼室中抽出。小心不要把转子轴弄弯或损坏轴尖。
3.清洗
在清洗时,要注意不要损坏下列零部件;(1)垫圈的每个表面;(2)减速齿轮组;(3)转子、转子轴;(4)阻尼叶片;(5)喷嘴孔及喷嘴板喷汽孔的边缘;(6)各定位止口;(7)主动磁钢;(8)宝石轴承;(9)孔板内孔边缘。
4.再装
组装按拆卸的相反顺序进行,正确的组装是流量计正常运转的保证。
4.1检查各部位的密封垫圈是否损坏,如损坏,应更换合格的密封垫圈。
4.2转子轴在组装时,轴尖应放入宝石轴承上,其轴向间隙为0.3-0.5mm之间,间隙大小,可用垫圈调整,注意厚垫在上。
4.3转子轴装好后,应能自由运转,用嘴吹动转子时可轻松旋转并能缓慢停下。
4.4指示器安装前要检验指针转动是否灵活。
九、常见故障与排除方法
| 现象 |
原因 |
排除方法 |
| 指示器指针转动不稳 |
指示器内各传动机构转动不灵活,有卡紧现象 |
找出不灵活部位进行修整并清洗干净。 |
指示器指针不转动或几乎不转动 |
1.流量少于流量范围要求的数值
2.流量计内有异物卡住某传动部分
3.某部件有损坏现象 |
1.增加流量或更换分流孔板
2.拆洗流量计,排除异物
3.更换合格零件并注意合理使用流量计 |
计量精度超差 |
1.流量计安装不合理
2.管道内有大量积水
3.流量计运行压力与指示器内压力补偿机构的示值不符
4.实际流量不在合理流量范围内
5.阻尼室中阻尼液(水)不满
6.出厂校验不准 |
1.按说明书重新安装
2.提高蒸汽干度或在流量计前安装汽水分离器
3.调节压力补偿机构,使其刻度值与流量计运行压力相符合,或用公式修正其值
4.按流量表更换分流孔板
5.注满阻尼液(水)
6.重新校验 |
| 入水口出水口漏水 |
密封垫圈失去密封作用 |
更换合格密封垫圈 |
十、订货须知
用户在订货时请注明:
1.被测蒸汽的工作压力,工作温度及变化范围。
2.被测蒸汽的流量范围及常用流量值。
3.管道公称通径DN。
4.是否配备二次远传仪表。