竞技宝电竞官网首页登录
各输入量的标准不确定度分量的评定
发布时间:2023-05-08 09:01:21
1.被测竞技宝电竞官网首页登录
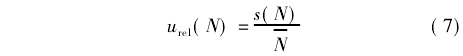
测量重复性引入的相对标准不确定度urel(N)
采用A类方法进行评定。按照检定规程要求,流量计分别在qmax、0.4qmax、0.2qmax、qmin各流量点进行6次重复测量,如表1所示。一般在测量次数较少时,可采用极差法获得实验标准差[2]口流量计脉冲数的测量值满足正态分布,本次测量次数为6次,不大于9次,采用极差法得到实验标准.差s(N)。
式中:R为极差,即6次测量的最大值与最小值之差;C为极差系数,n=6时C=2.53。
脉冲数测量重复性带来的相对标准不确定度:
按式(7)计算得到竞技宝电竞官网首页登录
,累积脉冲数测量重复性带来的不确定度urel(N)分别为:0.12%、0.18%、0.16%、0.15%。
2.标准装置示值引入的标准不确定度urel(Q)
音速喷嘴气体流量标准装置的测量不确定度
由校准证书给出,U=0.25%,k=2,则:.
Urel(Q)=0.25%/2=0.125%
3.标准装置处、被检流量计处压力测量引入的标准不确定度urel(Ps)、urrl(Pm)
标准装置处与被检流量计处的压力值,分别由安装在喷嘴处及被检流量计处的压力变送器测量得到,因两台压力变送器的安装位置不同,测量结果互不相关,相互独立。两台压力变送器经.检定后合格,由检定证书得到其最大允许误差为±0.1%,因此相对标准不确定度按均匀分布计算,k=√3,则压力测量引人的标准不确定度为:标准装置处:
Urel(Ps)=0.1%1√3=0.0577%
被检流量计处:
Urel(Pm)=0.1%1√3=0.0577%
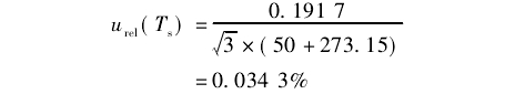
4.标准装置处、被检流量计处温度测量引入的标准不确定度urel(Ts)、urel(Tm)
安装在喷嘴处及被检竞技宝电竞官网首页登录
处的Pt100热电阻Rs、Rm分别测得标准装置处与被检流量计处的温.度值为:20.83℃、20.57℃。根据检定证书给出.的信息,Pt100热电阻的准确度等级为A级,量程为0~50℃,Rs、Rm的最大允许误差MPE通过公.式±(0.150℃+0.002|t|)计算得到:±0.1917℃;±0.1917℃、±0.1912℃,因R、Rm的安装位置不同,独立测量,因此测量结果互不相关,相互独立,按照均匀分布计算,h=√3,则温度测量引人的相对标准不确定度为:
标准装置处:
