技术支持
电磁流量计的不确定度分析
发布时间:2023-02-22 08:11:44
电磁流量计测量结果的不确定度是用来评定测量结果可信程度的一个重要的指标.不确定度的值越小,表明测量结果的可信度越大,其测量的水平也越高;反之,表明测量结果的可信度也越小,其测量的水平也越低.
1.不确定度的评定方法
根据评定方法的不同,测量不确定度一般有A类评定和B类评定两种评定方法.
A类评定方法采用的是基于统计学的分析方法,它的标准不确定度u等于一系列观测值计算得到的标准差.例如对X进行n次等精度独立测量,用统计学的方法可以求得这n个观测值的单次测量标准差,则可知测量结果的A类标准不确定度u(x)为:

在进行A类不确定度评定时多采用Bessel公式和极差法求取n次测量的标准差,这是由于Bessel公式的自由度和可信赖程度高.
B类评定是基于非统计分析方法估计概率分布来评定标准差,从而得到标准不确定度的方法.
对于被测量X,其估计值x的标准不确定度的B类评定是借助于影响x可能变化的全部信息进行科学判定的.这些信息可能是以前的测量数据、经验或资料;有关仪器和装置的一般知识;制造说明书和检定证书或其它报告所提供的数据;由手册提供的参考数据等.采用此种评定方法,需要具体情况具体分析,对测量结果采用合理的分布假设,具体方法可查阅相关文献或技术手册.
2.电磁流量计的不确定度评定
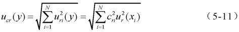
对于给定模型y=f(x1,x2...,xn),相对灵敏度cri的表达式为:
因此,相对合成标准不确定度为:
本文设计的新型电池供电电磁流量计的标定与检测是在水流量标准装置上完成的.电磁流量计的不确定度主要有标准装置引入的不确定度和各流量点重复性引入的不确定度两个来源,下面对其进行分别的介绍:
1)标准装置引入的不确定度分析
通过分析以及查阅相关手册可知,标准装置引入的不确定度可以采用B类评定方法进行评定.本文设计的新型电池供电电磁流量计在水流量标准装置上完成检测,该装置的扩展不确定度为0.2%,包含因子k为2,则装置引入的不确定度为:u(vs)=0.2%/2=0.1%.
2)流量点测量重复性引入的不确定度分析
通过查阅相关文献可知,各流量点的不确定度一般采用A类评定方法进行评定.一般情况下选用各流量点重复的最大值作为重复性的标准不确定度,此值可以采用贝塞尔公式计算得到,计算结果如表5.2所示,最大值为u(E)=|Er|max=0.10%.
3)不确定度的合成
根据式(5-11)可求得系统的合成不确定度,其数据如表5.3所示.
由于系统的不确定度的各个来源是不相关的,因此系统的合成不确定度为:
电磁流量计的扩展不确定度为:ur=kucr=0.28%,其中k=2.
版权所有:Copyright @ 竞技宝测速网来哈哈电竞
2021-2025