欢迎来到竞技宝测速网来哈哈电竞 官网!
技术支持
涡轮流量计的测试依据 
发布时间:2022-11-07 10:24:34
1.涡轮流量计 
 
  
涡轮流量计是一种速度式流量仪表,利用涡轮感受流体平均流速来导出流量,其工作原理是液体通过流量计内腔,对叶片产生冲击而使涡轮旋转,涡轮旋转速度随流量大小变化而变化,通过涡轮的转速而得到液体介质的流量。因涡轮流量计具有结构简单,体积、质量小,精度高等特点,所以在工业实际中应用最为广泛。如图1所示为涡轮流量计典型结构。 
2.测试依据 
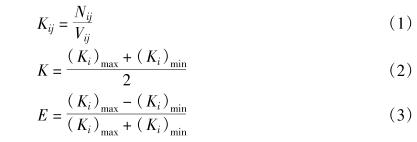
  涡轮流量计的测试主要依据《JJG1037-2008涡轮流量计检定规程》。主要参数包括仪表系数、最大示值误差(仪表线性度)及仪表重复性。计算方法如下: 
 
  式中:Kij一第i检定点第j次检定的仪表系数,L-1或(m³)-1; 
Nij一第i检定点第j次检定时流量计显示仪表测得的脉冲数; 
Vij一第i检定点第j次检定时标准装置测得的实际流量,L或m³; 
i一1,2,3..m,m为检定点数,m≥3; 
j一1,2,3..n,n为检定次数,n≥3。 
K一流量计的仪表系数,L-1或(m³)-1; 
E一流量计的仪表最大示值误差,L-1或(m³)-1; 
(Ki)max一流量计所有检定点中所得到的Ki中的最 
max大值,L-1或(m³)-1; 
(K;)m;.-
涡轮流量计所有检定点中所得到的K;中的最小值,L-1或(m³)-1; 
联系方式

手  机:13337963090

固定电话:0517-86500336 86500226

邮  箱:jshdyb@163.com

公司地址:江苏省金湖县工业园区

ICP备案号:苏ICP备10202569号-9

版权所有:Copyright @ 竞技宝测速网来哈哈电竞 2021-2025

客户服务热线

0517-86500336 86500226

在线客服
Baidu
map